ԱՄՆ-ում ԱԺԲ-ի գրանցման աշխատանքն իրականացնում է մի խումբ, որը պաշտպանել է Թուրքիայի կառավարության շահերը և Հայոց ցեղասպանության մերժման գծով լոբբիստական գործունեություն իրականացրել. Լուսանկարներ
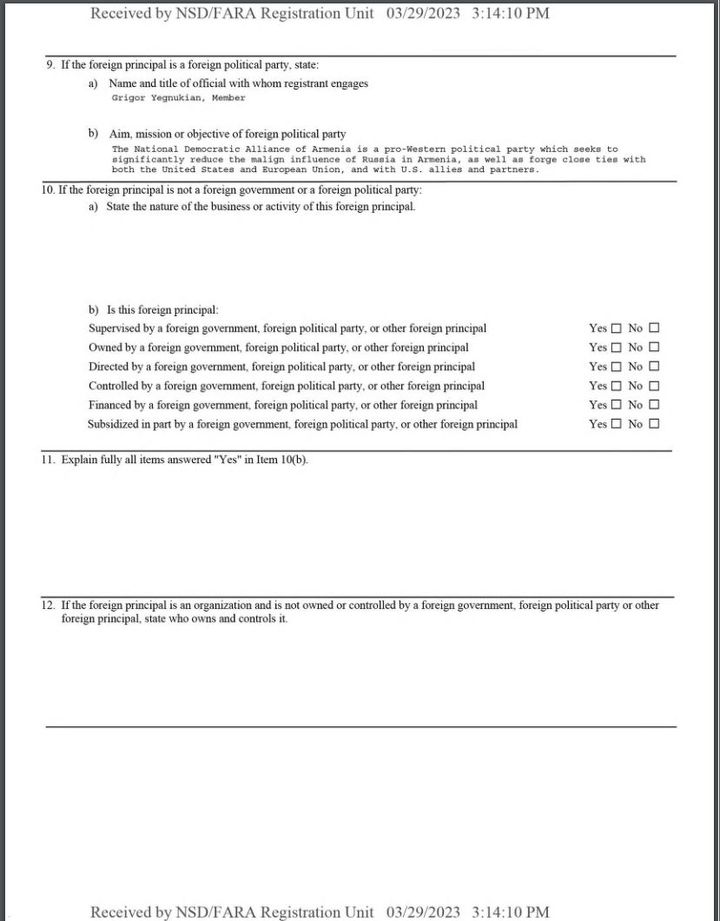
Ազգային-ժողովրդավարական բևեռը FARA-ի օրենքի (Foreign Agents Registration Act) շրջագծում ԱՄՆ-ում օրինական գործունեություն ծավալելու համար գրանցման դիմում է ներկայացրել ԱՄՆ-ի արդարադատության դեպարտմենտին:
Սա շատ նոռմալ է: Տարօրինակն այն է, որ ԱԺԲ-ի գրանցման աշխատանքն իրականացնում է ամերիկյան The Livingston Group-ը, որի հետ համագործակցության պայմանագիր է կնքել բևեռը:
Ինչ վերաբերում է The Livingston Group-ին, հիշյալ խումբն առնվազն մինչև 2008 թվականն ԱՄՆ-ի մոտ պաշտպանել է Թուրքիայի կառավարության շահերը և Հայոց ցեղասպանության մերժման գծով լոբբիստական գործունեություն է իրականացրել:
Հետաքրքիր կլինի այս կապակցությամբ լսել ԱԺԲ-ի ներկայացուցիչներ Արա Պապյանի, Ժիրայր Սեֆիլյանի ու Կարո Եղնուկյանի բացատրությունը:
Գրանցման մասին բաց տեղեկությունը կարելի է գտնել ԱՄՆ-ի արդարադատության դեպարտմենտի կայքում:
Հղումը գրառումների բաժնում:
Ռոբերտ Մարկարյանի ֆեյսբուքյան էջից

